题目都是hot100,记录做题心得。
两数之和
给定一个整数数组 nums 和一个整数目标值 target,请你在该数组中找出 和为目标值 target 的那 两个 整数,并返回它们的数组下标。
你可以假设每种输入只会对应一个答案,并且你不能使用两次相同的元素。
你可以按任意顺序返回答案。
显而易见暴力方法,双层循环。有一些优化的点,比如最大数超过target就去掉,不过不影响复杂度。
vector<int> twoSum(vector<int>& nums, int target) {
vector<int> v;
for(int i = 0 ; i < nums.size() - 1 ; i++){
for(int j = i + 1 ; j < nums.size() ; j++){
if(nums[i] + nums[j] == target){
v = { i , j};
return v;
}
}
}
return v;
}
结果比较好的是哈希表,基本原理就是 对于每一个x,我们首先查询哈希表中是否存在target – x,然后将x插入到哈希表中,即可保证不会让x和自己匹配。
tip:map和unordered_map
map:底层红黑树
unorder_map:散列表

vector<int> twoSum(vector<int>& nums, int target) {
//创建哈希表
unordered_map<int, int> hashtable;
for(int i = 0 ; i < nums.size() ; i++){
// 返回值是第二个数,如果走到最后,则说明不存在
auto it = hashtable.find(target - nums[i]);
if(it != hashtable.end()){
return {hashtable[target-nums[i]], i};
}
// 不存在加入散列表
hashtable[nums[i]] = i;
}
// c++要求必须最后有返回
return {};
}
字母异位词分组
给你一个字符串数组,请你将 字母异位词 组合在一起。可以按任意顺序返回结果列表。字母异位词 是由重新排列源单词的所有字母得到的一个新单词。
思路大概有直接的哈希,先把字母都拆开按顺序排好。最后遍历一遍就是答案。重点大概记一下语法,比如 string排序sort(key.begin() , key.end()); emplace_back的用法。
vector<vector<string>> groupAnagrams(vector<string>& strs) {
// key 是排好序的,后面是其它乱序的
unordered_map<string , vector<string>> mp ;
for (auto str :strs){
string key = str;
sort(key.begin() , key.end());
// 如果 key 已经存在,emplace_back 会把 str 添加到与 key 对应的 vector<string> 中。
// 如果 key 不存在,mp[key] 会自动创建一个新的空 vector<string>,并将 str 添加进去。
mp[key].emplace_back(str);
}
vector<vector<string>> answer;
for(auto it = mp.begin() ; it != mp.end() ; it++){
answer.emplace_back(it->second);
}
return answer;
}
最长连续序列
给定一个未排序的整数数组 nums ,找出数字连续的最长序列(不要求序列元素在原数组中连续)的长度。请你设计并实现时间复杂度为 O(n) 的算法解决此问题。
显而易见,排序o(logn),这条路已经堵死了
class Solution {
public:
int longestConsecutive(vector<int>& nums) {
int max_len = 0;
int length = nums.size();
unordered_map<int , int> mp;
for(int i = 0 ; i < length ; i++){
mp[nums[i]] = i;
}
for(int i = 0 ; i < length ; i++){
int current_len = 0;
int start = nums[i];
// 找到最前面
while(mp.find(start - 1) != mp.end()){
start -= 1;
}
// 从最前面往后统计,看多长
while(mp.find(start)!= mp.end()){
start += 1;
current_len += 1;
}
max_len = current_len > max_len ? current_len : max_len;
}
return max_len;
}
};
then
int longestConsecutive(vector<int>& nums) {
int max_len = 0;
unordered_map<int , int> mp;
// 先把每一个元素都插入散列表,便于O(1)看是否存在
for(int i = 0 ; i < nums.size() ; i++){
mp[nums[i]] = i;
}
for(auto &num : nums){
// 遍历一遍,如果后面没元素了,则说明对了。
// 找到最前面
if(mp.find(num + 1) == mp.end()){
int current_len = 1;
while(mp.find(num - current_len) != mp.end()){
current_len += 1;
}
max_len = current_len > max_len ? current_len : max_len;
}
}
return max_len;
}
上面我其实感觉已经很好了,但是散列表对于相同数据不会覆盖,而是链表一直往后走。这就导致很多浪费了,事实上上面也超时了。最佳还是要用unorder_set
int longestConsecutive(vector<int>& nums) {
// 创建这个set
unordered_set<int> num_set;
for (const int& num : nums) {
num_set.insert(num);
}
int longestStreak = 0;
for (const int& num : num_set) {
// 如果是最后一个,从最后往前统计
if(!num_set.count(num + 1)){
int current_len = 1;
while(num_set.count(num - current_len)){
current_len ++;
}
if(current_len > longestStreak) longestStreak = current_len;
}
}
}
return longestStreak;
}
总结:set和map区别貌似就是有没有键值对。这里不需要value,所以set好一些。
set插入用insert,找用find或者count。
移动零
给定一个数组 nums,编写一个函数将所有 0 移动到数组的末尾,同时保持非零元素的相对顺序。
void moveZeroes(vector<int>& nums) {
int zero = 0;
int not_zero = 1;
int length = nums.size();
//思路是,从前往后找
while(not_zero < length){
//如果可以交换就交换
if(nums[not_zero] != 0 && nums[zero] == 0){
int temp = nums[not_zero] ;
nums[not_zero] = nums[zero];
nums[zero] = temp;
}
//先找到第一个为0的
if(nums[zero] != 0) zero++;
//再在这个数后面找到第一个非0的
if(nums[not_zero] == 0) not_zero++;
if(zero >= not_zero) not_zero = zero;
}
}
官方的思路也挺好
注意到:左指针左边均为非零数;右指针左边直到左指针处均为零。
大概就是右指针一直向右转,找到下一个不为0的数。左指针会在0处停下。
void moveZeroes(vector<int>& nums) {
int n = nums.size(), left = 0, right = 0;
//右指针不断向右移动,每次右指针指向非零数,则将左右指针对应的数交换,同时左指针右移。
while (right < n) {
if (nums[right]) {
swap(nums[left], nums[right]);
left++;
}
right++;
}
}
盛最多水的容器
给定一个长度为 n 的整数数组 height 。有 n 条垂线,第 i 条线的两个端点是 (i, 0) 和 (i, height[i]) 。
找出其中的两条线,使得它们与 x 轴共同构成的容器可以容纳最多的水。
返回容器可以储存的最大水量。
每次都从左右挑一个高度小的,因为只有最小的那一边变大,整体容量才可能变大。标准解答貌似每次都会计算容量,不过我的解法虽然不用这样却很长。综合考虑就这样吧。
int maxArea(vector<int>& height) {
int l = 0, r = height.size() - 1;
int ans = 0;
while (l < r) {
int area = min(height[l], height[r]) * (r - l);
ans = max(ans, area);
if (height[l] <= height[r]) {
++l;
}
else {
--r;
}
}
return ans;
三数之和
给你一个整数数组 nums ,判断是否存在三元组 [nums[i], nums[j], nums[k]] 满足 i != j、i != k 且 j != k ,同时还满足 nums[i] + nums[j] + nums[k] == 0 。请你返回所有和为 0 且不重复的三元组。
遍历O(N3),很可惜就超时了
vector<vector<int>> threeSum(vector<int>& nums) {
vector<vector<int>> ret;
set<vector<int>> result;
int length = nums.size();
for(int i = 0 ; i < length ; i++){
for(int j = i + 1 ; j < length ; j++){
for(int k = j + 1 ; k < length ; k++){
if (nums[i] + nums[j] + nums[k] == 0)
{
vector<int> temp = {nums[i] , nums[j] , nums[k]};
sort(temp.begin() , temp.end());
result.insert(temp);
}
}
}
}
for(auto key : result){
ret.push_back(key);
}
return ret;
}
双指针遍历,很巧妙
class Solution {
public:
vector<vector<int>> threeSum(vector<int>& nums) {
int n = nums.size();
vector<vector<int>> ret;
sort(nums.begin() , nums.end());
// 最左边指针
for(int frist = 0 ; frist < n ; frist++){
// 找到不一样的值
if(frist > 0 && nums[frist -1] == nums[frist])
continue;
// third初始是最大的值
int third = n -1;
// 在中间遍历
for(int second = frist + 1 ; second < third ; second++){
if(second > frist + 1 && nums[second] == nums[second - 1] )
continue;
//最小的两个相加都比最大值大,那需要最大值变小
while(second < third && nums[second] + nums[third] + nums[frist] > 0){
third --;
}
//重合,可以退出了
if(second == third) break;
if(nums[second] + nums[third] + nums[frist] == 0){
ret.push_back({nums[frist], nums[second], nums[third]});
}
}
}
return ret;
}
};
接雨水
给定 n 个非负整数表示每个宽度为 1 的柱子的高度图,计算按此排列的柱子,下雨之后能接多少雨水。

初看非常逆天难,但是看了解析好像就又简单了
一是动态规划,二是下面的
- 使用height[left]和height[right]的值更新leftMax和rightMax的值;
- 如果height[left]<height[right],则必有leftMax<rightMax,下标left处能接的雨水量等于leftMax−height[left],将下标left处能接的雨水量加到能接的雨水总量,然后将left加1(即向右移动一位);
- 如果height[left]≥height[right],则必有leftMax≥rightMax,下标right处能接的雨水量等于rightMax−height[right],将下标right处能接的雨水量加到能接的雨水总量,然后将right减1(即向左移动一位)。
int trap(vector<int>& height) {
int ans = 0;
int left = 0 , right = height.size() - 1;
int left_max = 0 , right_max = 0;
while(left < right){
//取当前最大
left_max = max(left_max , height[left]);
right_max = max(right_max , height[right]);
//如果左边高度小于右边,表示左边一定可以都上
if(height[left] < height[right]){
ans += left_max - height[left];
++left;
} else {
ans += right_max - height[right];
-- right;
}
}
return ans;
}
有一个更好理解的

和为 K 的子数组
给你一个整数数组 nums 和一个整数 k ,请你统计并返回 该数组中和为 k 的子数组的个数 。下面是一个单纯的排表,O(n2)
int subarraySum(vector<int>& nums, int k) {
int sum = 0;
int n = nums.size();
for(int i = 0 ; i < n ; i++){
int current = 0;
for(int j = i ; j < n ; j++){
current += nums[j];
if(current == k) sum ++;
}
}
return sum;
}
结果答案有个甜菜想法,假设用a[i]表示从0加到i,那我要i,j之间只需要a[j] – a[i-1]。那这样,我要求一个区间[j,i]的和为target,则为a[i] – a[j] = target,那对于任意一个a[i],我们只需要对它前面的数字判断,是否有等于a[i]-target即可,如果o1可以判断,那么最终算法复杂度就是O(n)
世界上想出这么巧妙算法的人都是甜菜吗?
int subarraySum(vector<int>& nums, int k) {
unordered_map<int , int> mp;
//保证比如说自相等情况下,可以统计到
mp[0] = 1;
int sum = 0;
int count = 0;
for(int i = 0 ; i < nums.size() ; i++){
sum += nums[i];
if(mp.find(sum - k) != mp.end()){
count += mp[sum - k];
}
mp[sum]++;
}
return count;
}
无重复字符的最长子串
给定一个字符串 s ,请你找出其中不含有重复字符的 最长 子串 的长度。
早上可能状态好?一下就做出来了
右指针每次都是新加入的元素,如果已经存在,那左指针就删掉自己的向右移动
int lengthOfLongestSubstring(string s) {
unordered_set<char> st;
int n = s.length();
int left= 0 , right = 0;
int max_length = 0;
int current_length = 0;
while(right < n ){
//没找到
if(st.count(s[right]) == 0){
st.insert(s[right]);
current_length ++;
right++;
}
//找到了
else{
st.erase(s[left]);
left++;
current_length --;
}
max_length = current_length > max_length ? current_length : max_length;
}
return max_length;
}
找到字符串中所有字母异位词
给定两个字符串 s 和 p,找到 s 中所有 p 的 异位词 的子串,返回这些子串的起始索引。不考虑答案输出的顺序。
太低效了,直接timeout。复杂度是o(nNlogN)。看来必然是p后续的N太大了。
vector<int> findAnagrams(string s, string p) {
vector<int> ans;
int n_s = s.length() , n_p = p.length();
sort(p.begin() , p.end());
int left = 0 ;
while(left + n_p - 1 < n_s){
string subStr = s.substr(left , n_p);
sort(subStr.begin() , subStr.end());
if(p == subStr){
ans.push_back(left);
}
left++;
}
return ans;
}
想出来了O(n)的,觉得非常够用。注意的点是,虽然unordered_map<char , int>在初始化时候,如果value没有,那默认是0,但是二者比较时候并不会相等。
剩下的就是滑动比较,加一个减一个
vector<int> findAnagrams(string s, string p) {
vector<int> ans;
int n_s = s.length() , n_p = p.length();
unordered_map<char , int> mp;
unordered_map<char , int> ans_mp;
for(int i = 0 ; i < 26 ; i++){
mp['a'+ i] = 0;
ans_mp['a'+ i] = 0;
}
for(int i = 0 ; i < n_p ; i++){
mp[s[i]]++;
ans_mp[p[i]]++;
}
for(int i = 0 ; i + n_p - 1 < n_s ; i++){
if(mp == ans_mp){
ans.push_back(i);
}
mp[ s[i] ]--;
mp[ s[i + n_p] ]++;
}
return ans;
}
滑动窗口最大值
给你一个整数数组 nums,有一个大小为 k 的滑动窗口从数组的最左侧移动到数组的最右侧。你只可以看到在滑动窗口内的 k 个数字。滑动窗口每次只向右移动一位。
返回 滑动窗口中的最大值 。
直接想到的方法是优先级队列。这样每次logN,整体就是nlogN。基于红黑树差不多
vector<int> maxSlidingWindow(vector<int>& nums, int k) {
// deque从前后都可以pop
deque<int> q;
int n = nums.size();
// 先是对最前面K个,且题目提到 k < n了
for(int i = 0 ; i < k ; i++){
// 此时q内部是降序排列,如果后面的比他大,那说明前面的都没用了
while(!q.empty() && nums[i] > nums[q.back()]){
q.pop_back();
}
q.push_back(i);
}
//此时,第一个数字就是前面最大的
vector<int> ans = {nums[q.front()]};
for(int i = k ; i < n ; i++){
//还是一样,如果大了就踢出去
while(!q.empty() && nums[i] > nums[q.back()]){
q.pop_back();
}
//极端情况可能有k+1个数,但无所谓,马上就踢人
q.push_back(i);
if(q.front() <= i - k){
q.pop_front();
}
ans.push_back(nums[q.front()]);
}
return ans;
最小覆盖子串
给你一个字符串 s 、一个字符串 t 。返回 s 中涵盖 t 所有字符的最小子串。如果 s 中不存在涵盖 t 所有字符的子串,则返回空字符串 "" 。
核心思想:右边r一直往右走,检查区间内是否满足要求。如果满足要求就缩左边,最终取到一个比较好的结果。
class Solution {
public:
unordered_map<char , int> m_s;
int check(){
for(auto p : m_s){
if(p.second < 0)
return 0;
}
return 1;
}
string minWindow(string s, string t) {
int n_s = s.length() , n_t = t.length();
// 设定为负数,只有全正才说明满足要求
for(int i = 0 ; i < n_t ; i++){
m_s[t[i]] --;
}
int l = 0 , r = 0;
int len = INT_MAX, ansL = -1;
while(r < n_s){
//对应的表里+1,向右移动
m_s[s[r]]++;
//当满足要求,开始缩左边
while(check()){
//比最大的小,更新左边答案
if(r - l + 1 < len){
len = r - l + 1;
ansL = l;
}
m_s[s[l]]--;
l++;
}
r++;
}
return ansL == -1 ? "" : s.substr(ansL , len);
}
};
最大子数组和
给你一个整数数组 nums ,请你找出一个具有最大和的连续子数组(子数组最少包含一个元素),返回其最大和。
子数组是数组中的一个连续部分。
int maxSubArray(vector<int>& nums) {
int pre = 0 , max_ans = nums[0];
for(int i = 0 ; i < nums.size() ; i++){
// 当前数最大值,比较前面的数加上自己和当前数比较
// 如果从自己这里开始好那前面的肯定没用了
pre = max(pre + nums[i] , nums[i]);
max_ans = max(max_ans , pre);
}
return max_ans;
}
合并区间
以数组 intervals 表示若干个区间的集合,其中单个区间为 intervals[i] = [starti, endi] 。请你合并所有重叠的区间,并返回 一个不重叠的区间数组,该数组需恰好覆盖输入中的所有区间 。
思路大概就是先排序,按照第一个数排。拍好后从前往后遍历处理。
没想到的点是sort(intervals.begin(), intervals.end());居然可以直接对二维数组排序,依据还是根据第一个数。
vector<vector<int>> merge(vector<vector<int>>& intervals) {
if(intervals.size() == 0) return{};
sort(intervals.begin(), intervals.end());
int n = intervals.size();
vector<vector<int>> ans;
int l = intervals[0][0] , r = intervals[0][1];
for(int i = 1 ; i < n ; i++){
//左边都超出边界,则可以把之前那个加进去了,并开始新一轮循环
if(intervals[i][0] > r){
ans.push_back({l,r});
l = intervals[i][0];
r = intervals[i][1];
}
else{
//扩宽到目前可达最远
if(intervals[i][1] > r){
r = intervals[i][1];
}
}
}
//最后一对没有加上,补全
ans.push_back({l,r});
return ans;
}
轮转数组
给定一个整数数组 nums,将数组中的元素向右轮转 k 个位置,其中 k 是非负数。
经典三次reverse,多想一下就感受到巧妙了
class Solution {
public:
void reverse(vector<int>& nums , int start , int end){
while(start < end){
swap(nums[start] , nums[end]);
start++;
end--;
}
}
void rotate(vector<int>& nums, int k) {
int n = nums.size();
k %= n;
reverse(nums , 0 , n - 1);
reverse(nums , 0 , k - 1);
reverse(nums , k , n - 1);
}
};
除自身以外数组的乘积
给你一个整数数组 nums,返回 数组 answer ,其中 answer[i] 等于 nums 中除 nums[i] 之外其余各元素的乘积 。
题目数据 保证 数组 nums之中任意元素的全部前缀元素和后缀的乘积都在 32 位 整数范围内。
请 不要使用除法,且在 O(n) 时间复杂度内完成此题。
一个classic思路,两个数组,一个记录正向乘积,另一个记录反向乘积。最终二者相结合,得到想要的答案
vector<int> productExceptSelf(vector<int>& nums) {
int n = nums.size();
vector<int> L(n , 0);
vector<int> R(n , 0);
L[0] = nums[0];
R[n - 1] = nums[n - 1];
for(int i = 1 ; i < n ; i++){
L[i] = L[i -1] * nums[i];
R[n - i - 1] = R [n - i] * nums[n - i - 1];
}
vector<int> ans(n , 0);
ans[0] = R[1];
ans[n - 1] = L[n-2];
for(int i = 1 ; i < n - 1 ; i++){
ans[i] = L[i - 1] * R[i + 1];
}
return ans;
}
结果速度还不是很快。看的最佳的思路是,其实只用一个数组就够了。开始全部设置为1,左右双指针走。左指针就记录到这个位置左边乘积,乘好后放在这里。右边同理。这样一次就全部跑完了。甜菜还是太无法战胜了。
vector<int> productExceptSelf(vector<int>& nums) {
int n = nums.size();
vector<int> ans(n , 1);
int L = 1 , R = 1;
for(int i = 1 ; i < n ; i++){
L *= nums[i-1];
ans[i] *= L;
R *= nums[n - i];
ans[n-i-1] *= R;
}
return ans;
}
只出现一次的数字
给你一个 非空 整数数组 nums ,除了某个元素只出现一次以外,其余每个元素均出现两次。找出那个只出现了一次的元素。
你必须设计并实现线性时间复杂度的算法来解决此问题,且该算法只使用常量额外空间。
非常经典的脑筋急转弯。开始想到的哈希表,结果就浪费O(n)空间不可以。。结果直接全部异或就完事了,,,还是挺无语的
缺失的第一个正数
给你一个未排序的整数数组 nums ,请你找出其中没有出现的最小的正整数。请你实现时间复杂度为 O(n) 并且只使用常数级别额外空间的解决方案。
int firstMissingPositive(vector<int>& nums) {
// 这种也是神人题目了,或者说绝大部分困难题目
// 无异于一个脑筋急转弯。看过就会,没看过就很可能想不出来。
// 当你费劲心思想到一个解,却发现复杂度早就限制死了,接着看到答案只能无语的笑了
int n = nums.size();
//对于负数和0,全部让它超过数组大小,这样不会影响正常值
for(int i = 0 ; i < n ; i++){
if(nums[i] <= 0) nums[i] = n + 1;
}
// 那么剩下的就全是正数了,此时对于<= n的部分,去数组找对应位置,设置为负数(直接*-1那么偶数次会出问题)
for(int i = 0 ; i < n ;i++){
if(abs(nums[i]) <= n) nums[abs(nums[i]) - 1] = -abs(nums[abs(nums[i]) - 1]);
}
// 找到第一个正数即可,没有被映射过。
for(int i = 0 ; i < n ; i++){
if(nums[i] > 0 ) return i + 1;
}
return n + 1;
}
矩阵置零
给定一个 m x n 的矩阵,如果一个元素为 0 ,则将其所在行和列的所有元素都设为 0 。请使用 原地 算法。

随手写的,时间复杂度O(MN),一看100%那行了不优化了。
void setZeroes(vector<vector<int>>& matrix) {
//考虑到这个unordered_set是O(1)查询,一定程度上也节省空间
unordered_set<int> rows;
unordered_set<int> cols;
// 行数列数做好
int row_size = matrix.size();
int col_size = matrix[0].size();
// 把为0的行数列数加进去
for(int i = 0 ; i < row_size ; i++){
for(int j = 0 ; j < col_size ; j++){
if(matrix[i][j] == 0){
rows.insert(i);
cols.insert(j);
}
}
}
// 如果行数或者列数在set里,那就设置为0
for(int i = 0 ; i < row_size ; i++){
for(int j = 0 ; j < col_size ; j++){
if(rows.count(i) || cols.count(j)){
matrix[i][j] = 0 ;
}
}
}
}
螺旋矩阵
给你一个 m 行 n 列的矩阵 matrix ,请按照 顺时针螺旋顺序 ,返回矩阵中的所有元素。
旋转倒不是问题,开始我没想到怎么停下来。最后一想直接循环mn就行,,简单薄纱
vector<int> spiralOrder(vector<vector<int>>& matrix) {
int row = matrix.size() , col = matrix[0].size();
int i = 0 , j = 0;
int direction = 0 , circle = 0; //1,2,3,4表示四个方向,circle表示转了多少圈
vector<int> ans;
//一般情况下右转,但是如果是竖条,那么方向要向下
if(col == 1) direction = 1;
// 下面是有点屎的,理论上可以合并一块,不过懒得想了233333
for(int k = 0 ; k < row * col ; k++)
{
ans.push_back(matrix[i][j]);
if(direction == 0){
j ++;
//抵达边界,掉头
if(j + circle >= col - 1)
direction++;
} else if(direction == 1){
i ++;
if(i + circle >= row -1)
direction++;
} else if(direction == 2){
j --;
if(j <= circle)
{
direction++;
}
} else if(direction == 3){
i--;
if(i <= circle + 1)
{
direction = 0;
circle++;
}
}
}
return ans;
}
旋转图像
给定一个 n × n 的二维矩阵 matrix 表示一个图像。请你将图像顺时针旋转 90 度。
你必须在 原地 旋转图像,这意味着你需要直接修改输入的二维矩阵。请不要 使用另一个矩阵来旋转图像。
数学题,没意思。先行反转,再对角线。就100%AC了
void rotate(vector<vector<int>>& matrix) {
//先行反转,再对角线
int n = matrix.size();
for(int i = 0 ; i < n /2 ; i++){
swap(matrix[i] , matrix[n - 1 - i]);
}
for(int i = 0 ; i < n ; i++){
for(int j = i + 1 ; j < n ; j++){
swap(matrix[i][j] , matrix[j][i]);
}
}
}
搜索二维矩阵 II
编写一个高效的算法来搜索 m x n 矩阵 matrix 中的一个目标值 target 。该矩阵具有以下特性:
每行的元素从左到右升序排列。每列的元素从上到下升序排列。
脑筋急转弯,看过就会。。
bool searchMatrix(vector<vector<int>>& matrix, int target) {
// 右上角开始是二叉搜索树...
int m = matrix.size() , n = matrix[0].size();
int i = 0 , j = n - 1;
while(i >= 0 && i < m && j >= 0 && j <n){
if(target > matrix[i][j]){
i++;
}else if(target < matrix[i][j]){
j--;
}else {
return true;
}
}
return false;
}
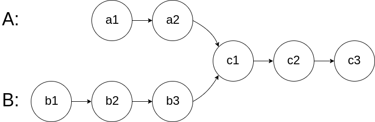
相交链表

也是很经典了,和公共尾串思路一致。
/**
* Definition for singly-linked list.
* struct ListNode {
* int val;
* ListNode *next;
* ListNode(int x) : val(x), next(NULL) {}
* };
*/
class Solution {
public:
ListNode *getIntersectionNode(ListNode *headA, ListNode *headB) {
ListNode *A = headA;
ListNode *B = headB;
int back = 0;
while(back < 3 ){
if(headA == headB) return headA;
if(headA->next) headA = headA->next;
else {
headA = B;
back++;
}
if(headB->next)headB = headB->next;
else {
headB = A;
back++;
}
}
return NULL;
}
};
反转链表
当初可没那么会,都要沉思很久,现在居然一下就写出来了

/**
* Definition for singly-linked list.
* struct ListNode {
* int val;
* ListNode *next;
* ListNode() : val(0), next(nullptr) {}
* ListNode(int x) : val(x), next(nullptr) {}
* ListNode(int x, ListNode *next) : val(x), next(next) {}
* };
*/
class Solution {
public:
ListNode* reverseList(ListNode* head) {
ListNode *cur , *temp , * pre = nullptr;
cur = head;
while(cur != nullptr){
temp = cur->next; // temp的目的是因为cur掉头找不到下一个,因此提前锁定
cur->next = pre; // pre目的是单向链表找不到前一个
pre = cur;
cur = temp;
}
return pre;
}
};
回文链表
给你一个单链表的头节点 head ,请你判断该链表是否为回文链表。如果是,返回 true ;否则,返回 false 。
快慢指针找中间,翻转后续就都是顺序了。比较即可
class Solution {
public:
ListNode* reverse(ListNode* head){
ListNode *cur , *temp , *pre = nullptr;
cur = head;
while(cur){
temp = cur->next;
cur->next = pre;
pre = cur;
cur = temp;
}
return pre;
}
bool isPalindrome(ListNode* head) {
// O(n)空间那就太简单了,但是O(1)
// 快慢指针找中间,反转后续比较
ListNode *fast = head, * slow = head;
//先找到翻转点
// 保证slow在需要翻转的前一个(无论奇偶)
while(1){
if(fast->next) {
fast = fast->next;
}
if(fast->next){
fast = fast->next;
slow = slow->next;
} else{
break;
}
}
//现在翻转,比较每一个,直到最后
ListNode* end = reverse(slow->next) ,* start = head;
while(end){ //用后面这个是因为他短
if(end->val != start->val) return false;
end = end->next;
start = start->next;
}
return true;
}
};
环形链表
给你一个链表的头节点 head ,判断链表中是否有环
一眼丁真,快慢指针,过。我很好奇为什么我只超过20%但复杂度最优,发现第一名原来是检测循环走了10000还在走就是有环。。。。。。逆天
bool hasCycle(ListNode *head) {
ListNode *fast = head , *slow = head;
if(head == NULL || head->next ==NULL) return false;
fast = head->next->next;
slow = head->next;
while(fast){
if(fast == slow){
return true;
}
fast = fast->next;
if(fast == NULL) return false;
fast = fast->next;
slow = slow->next;
}
return false;
}
环形链表 II
数学推到类型,想出来就会
ListNode *detectCycle(ListNode *head) {
//快慢指针走,相遇之后在从头来一个指针,相遇点就是环的位置。
ListNode *fast = head , *slow = head;
if(head == NULL || head->next ==NULL) return NULL;
fast = head->next->next;
slow = head->next;
while(fast){
if(fast == slow){
ListNode *start = head;
while(start != slow){
start = start->next;
slow = slow->next;
}
return start;
}
fast = fast->next;
if(fast == NULL) return NULL;
fast = fast->next;
slow = slow->next;
}
return NULL;
}
合并两个有序链表
经典题,不赘述
ListNode* mergeTwoLists(ListNode* list1, ListNode* list2) {
ListNode *mergeList = new ListNode();
ListNode *head = mergeList;
// 谁小谁下一个
while(list1 && list2){
if(list1->val < list2->val){
mergeList->next = list1 ;
list1 = list1->next;
} else {
mergeList->next = list2;
list2 = list2->next;
}
mergeList = mergeList->next;
}
if(list1) mergeList->next = list1;
else mergeList->next =list2;
return head->next;
}
两数相加
逆序数相加,如图是342 + 465 = 807.

有点啰嗦,但是100%AC,细节不优化了
ListNode* addTwoNumbers(ListNode* l1, ListNode* l2) {
ListNode* current_node = new ListNode();
ListNode* head = current_node;
int current = 0 , next = 0;
//相加,存到一直节点。记录进位
while(l1 && l2){
int sum = l1->val + l2->val + next;
current = sum % 10;
next = sum / 10;
l1->val = current;
current_node->next = l1;
current_node = current_node->next;
l1 = l1->next;
l2 = l2->next;
}
// 如果一边长一边短,那么还要接着算
while(l1){
int sum = l1->val + next;
current = sum % 10;
next = sum / 10;
l1->val = current;
current_node->next = l1;
current_node = current_node->next;
l1 = l1->next;
if(next == 0) break;
}
while(l2){
int sum = l2->val + next;
current = sum % 10;
next = sum / 10;
l2->val = current;
current_node->next = l2;
current_node = current_node->next;
l2 = l2->next;
if(next == 0) break;
}
// 最后还进位,多加一个节点
if(next == 1){
ListNode* up = new ListNode(1);
current_node->next = up;
// new node
}
return head->next;
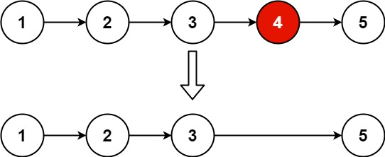
删除链表的倒数第 N 个结点
快慢指针秒了。一个指针快N个,那个到结尾这个就删
删除链表的倒数第 N 个结点

ListNode* removeNthFromEnd(ListNode* head, int n) {
ListNode* fast = head , *slow = head ;
//保持领先N个,如果此时为空,则说明链表长度和要删的一样多,那么就去掉第一个就好
while(n --) fast = fast->next;
if(!fast) return head->next;
//后面就是保持领先n+1个,这样方便删
fast = fast->next;
while(fast ) {
fast = fast->next;
slow = slow->next;
}
slow->next = slow->next->next;
return head;
}
两两交换链表中的节点
ListNode* swapPairs(ListNode* head) {
ListNode* start = new ListNode();
// 辅助起点
start->next = head;
ListNode* left = start, * mid = head, *right = nullptr;
//当前要交换俩节点为空
while(mid && mid->next){
//交换
right = mid->next;
mid->next = right->next;
left->next=right;
right->next = mid;
//交换完成后调整
left = mid;
mid = mid->next;
}
return start->next;
}
K 个一组翻转链表
题是不难,但是要注意边界情况。这里我整了很久,要注意几个点,比如开始的头节点不要往后跑了
/**
* Definition for singly-linked list.
* struct ListNode {
* int val;
* ListNode *next;
* ListNode() : val(0), next(nullptr) {}
* ListNode(int x) : val(x), next(nullptr) {}
* ListNode(int x, ListNode *next) : val(x), next(next) {}
* };
*/
class Solution {
public:
ListNode* reverse(ListNode* head){
ListNode *pre = nullptr , * cur = head , *temp;
while(cur){
temp = cur->next;
cur->next = pre;
pre = cur;
cur = temp;
}
return pre;
}
ListNode* reverseKGroup(ListNode* head, int k) {
//一个简单的思路
// 我要翻转一段,我就把这一段前后都断了,并记录头(尾会变成头不用管),和这一段前和后
// 判断是否要翻转就排一个哨兵出去,能跑到指定位置不为空就能
ListNode* hair = new ListNode();
hair->next = head;
ListNode* pre = hair , *A = head;
ListNode* B = pre, * end = nullptr;
while(1){
for(int i = 0 ; i < k; i++) {
B = B->next;
if(!B) return hair->next;
}
end = B->next;
B->next = nullptr;
pre->next = reverse(A);
A->next = end;
pre = A ;
A = end ;
B = pre ;
}
return hair->next;
}
};
随机链表的复制
意思就是,你拷贝一个node时候,里面的指针内容,你也要拷贝到新的里面。理解之后随便杀
Node* copyRandomList(Node* head) {
unordered_map< Node* , Node*> mp;
Node *start = head;
Node *newList = new Node(0) ;
Node *cur = newList;
//先过一遍,哈希表对应上
while(start){
Node *node = new Node(start->val);
cur->next = node;
mp[start] = node;
start = start->next;
cur = cur->next;
}
//再过一遍,找到random
Node *newHead = newList->next;
Node *oldList = head;
while(newHead){
newHead->random = mp[oldList->random];
oldList = oldList->next;
newHead = newHead->next;
}
return newList->next;
}
排序链表
给你链表的头结点 head ,请将其按 升序 排列并返回 排序后的链表 。
mergesort,快慢指针找中点,然后归并
合并 K 个升序链表
俩俩合并,我这里用了队列很方便。注意是front,push,pop。没语法提示好累223333333
ListNode* mergeList(ListNode *a , ListNode *b){
ListNode *head = new ListNode();
ListNode *cur = head;
while(a && b){
if(a->val < b->val){
cur->next = a;
a = a->next;
} else {
cur->next = b;
b = b->next;
}
cur = cur->next;
}
if(a) cur->next = a;
else if(b) cur->next = b;
return head->next;
}
public:
ListNode* mergeKLists(vector<ListNode*>& lists) {
if(lists.size() == 0) return nullptr;
queue<ListNode*> q;
for(int i = 0 ; i < lists.size() ; i++){
q.push(lists[i]);
}
while(q.size() >= 2){
ListNode *node1 = q.front();
q.pop();
ListNode *node2 = q.front();
q.pop();
q.push(mergeList(node1 , node2));
}
return q.front();
}
排序链表
时间复杂度符合要求,空间不符合。还有最后的合并链表居然写错了硬是发现不了。。。一长就会错真烦人。
class Solution {
public:
ListNode* sortList(ListNode* head) {
return devide(head);
}
ListNode *devide(ListNode* head){
if(head == nullptr) return nullptr;
if(head->next == nullptr) return head;
cout << head->val << head->next->val;
ListNode *fast = head,*slow = head;
while(fast){
fast = fast->next;
if(fast) {
fast = fast->next;
if(fast) slow = slow->next;
}
}
ListNode *start = slow->next;
slow->next = nullptr;
ListNode *left = devide(head);
ListNode *right = devide(start);
return merge(left , right);
}
ListNode* merge(ListNode *L1 , ListNode *L2){
ListNode *head = new ListNode();
ListNode *temp = head;
while(L1 && L2){
if(L1->val < L2->val){
temp->next = L1;
L1 = L1->next;
}else {
temp->next = L2;
L2 = L2->next;
}
temp = temp->next;
}
if(L1) temp->next = L1;
else temp->next = L2;
return head->next;
}
};
LRU 缓存
优化了很多,感觉是符合要求了,但最后却还是超过很少的人…可能最好的方法就是不要用链表
class LRUCache {
struct Node{
int key;
int val ;
Node *next = nullptr;
Node *prev= nullptr;
Node(){};
Node(int key , int val):key(key),val(val){}
};
struct NodeList{
unordered_map<int , Node*> mp;
Node *head ;
Node *tail ;
int maxSize;
int curSize;
NodeList(){
head = new Node();
tail = head;
curSize = 0;
}
int get(int key){
// 哈希表,快速找
if(!mp.count(key)) return -1;
else{
// 找到了,则需要返回目标值。相当于重新插入到队尾。
int value = mp[key]->val;
put(key , value);
return value;
}
}
void put(int key, int value) {
// 先插入到队尾,如果超了就删除链表第一个
// 哈希表,快速找,没找到直接加,找到了,删掉值再加
Node *newNode = new Node(key , value);
if(!mp.count(key)){
tail->next = newNode;
newNode->prev = tail;
tail = tail->next;
mp[key] = newNode;
}
else{
// 找到了,删除后重新加入
del(key);
tail->next = newNode;
newNode->prev = tail;
tail = tail->next;
mp[key] = newNode;
}
curSize ++;
// 此时判断是否超出最大值,超过就删除第一个
if(curSize > maxSize){
del(head->next->key);
}
}
void del(int key){
// 这里在删之前都已经查找过确认存在
// 维护双向指针
Node *del = mp[key];
Node *prev = del->prev;
prev->next = del->next;
if(del->next != nullptr) del->next->prev = prev;
else {
tail = tail->prev;
}
delete del;
// 哈希表,删掉
mp.erase(key);
curSize --;
}
};
NodeList *nodeList;
public:
LRUCache(int capacity) {
nodeList = new NodeList();
nodeList->maxSize = capacity;
}
int get(int key) {
return nodeList->get(key);
}
void put(int key, int value) {
nodeList->put(key , value);
}
};
/**
* Your LRUCache object will be instantiated and called as such:
* LRUCache* obj = new LRUCache(capacity);
* int param_1 = obj->get(key);
* obj->put(key,value);
*/
二叉树的中序遍历
经典。递归对于三种遍历都是只要改改位置就好了,为什么不都用递归呢()
class Solution {
vector<int> ans;
public:
void inorder(TreeNode* root){
if(!root) return;
if(root->left != nullptr) inorder(root->left);
ans.push_back(root->val);
if(root->right != nullptr) inorder(root->right);
};
vector<int> inorderTraversal(TreeNode* root) {
inorder(root);
return ans;
}
};
二叉树的最大深度
int maxDepth(TreeNode* root) {
if(root == nullptr ) return 0;
else {
return max (maxDepth(root->left) , maxDepth(root->right)) + 1;
}
}
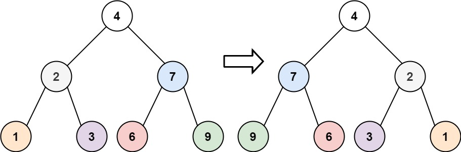
翻转二叉树

岁月静好,真好
class Solution {
public:
TreeNode* invertTree(TreeNode* root) {
if(root == nullptr) return nullptr;
TreeNode *temp = root->right;
root->right = invertTree(root->left);
root->left = invertTree(temp);
return root;
}
};
对称二叉树
class Solution {
public:
bool isSymmetric2(TreeNode* node1 , TreeNode* node2){
if(node1 == nullptr || node2 == nullptr){
if(node1 == nullptr && node2 == nullptr)
return true;
return false;
}
if(node1->val != node2->val) return false;
return isSymmetric2(node1->left , node2->right) && isSymmetric2(node1->right , node2->left);
}
bool isSymmetric(TreeNode* root) {
if(root == nullptr) return true;
return isSymmetric2(root->left , root->right);
}
};
二叉树的直径
给你一棵二叉树的根节点,返回该树的 直径 。
二叉树的 直径 是指树中任意两个节点之间最长路径的 长度 。这条路径可能经过也可能不经过根节点 root 。
两节点之间路径的 长度 由它们之间边数表示。
重点是想明白,直径就是左子树高度+右子树高度。所以相当于遍历一遍后找到这个和最大的即可
class Solution {
int ans = 0;
int depth(TreeNode *t){
if( t == nullptr) return 0;
int L = depth(t->left);
int R = depth(t->right);
if(L + R > ans) ans = L + R;
return max(L , R) + 1;
}
public:
int diameterOfBinaryTree(TreeNode* root) {
depth(root);
return ans ;
}
};
二叉树的层序遍历
无需多言。但又一个深搜思路挺好的,你搜到那一层直接往后push就行了,而不是真的要层序遍历
vector<vector<int>> levelOrder(TreeNode* root) {
if(!root) return{};
queue<TreeNode *>q;
vector<vector<int>> v;
q.push(root);
int currentNum = 1 , nextNum = 0;
vector<int> currentLevel;
while(!q.empty()){
TreeNode *cur = q.front();
q.pop();
currentLevel.push_back(cur->val);
currentNum --;
if(cur->left) {q.push(cur->left) ; nextNum++;};
if(cur->right) {q.push(cur->right); nextNum++;};
//下一层走完了
if(currentNum == 0){
currentNum = nextNum;
nextNum = 0;
v.push_back(currentLevel);
currentLevel.clear();
}
}
return v;
}
验证二叉搜索树

即为检查中序遍历是否升序。如果用一个数组最后就O(n)了,不优雅。我才用的是一个变量,只要每遍历到一个后一个都比前一个大就行。这里要考虑INT_MIN问题,最开始我解决是再加了一个bool,判断是否出现两次INT_MIN即可
class Solution {
int temp = INT_MIN;
bool isBST = true , isMin = false;
public:
void midTraversal(TreeNode* root){
if(root == 0) return ;
if(root->left) midTraversal(root->left);
if(root->val <= temp){
cout << "turn on";
if((root->val == temp && temp == INT_MIN) && !isMin){
isMin = true;
}
else isBST = false;
}
temp = root->val;
if(root->right) midTraversal(root->right);
}
bool isValidBST(TreeNode* root) {
midTraversal(root);
return isBST;
}
};
二叉搜索树中第 K 小的元素
这部还是中序遍历到第k个元素(?)秒了

class Solution {
public:
int max_num , ans;
void midTraverse(TreeNode* root){
if(root == nullptr) return;
if(root->left) midTraverse(root->left);
if(--max_num == 0) ans = root->val;
if(root->right) midTraverse(root->right);
}
int kthSmallest(TreeNode* root, int k) {
max_num = k;
midTraverse(root);
return ans;
}
};
二叉树的右视图

void tailTraverse(TreeNode* root , int height){
if(root == nullptr) return ;
if(height > max_height) { ans.push_back(root->val); max_height++;};
if(root->right) tailTraverse(root->right , height + 1);
if(root->left) tailTraverse(root->left , height + 1);
}
vector<int> rightSideView(TreeNode* root) {
// 后续遍历,每层遇到第一个加进去
tailTraverse(root , 0);
return ans;
}
二叉树展开为链表
直接循环展开,但反正都是O(N),那么直接开一个O(N)的表似乎也一样
void flatten(TreeNode* root) {
if(!root) return;
TreeNode *head = new TreeNode();
TreeNode *cur = head;
stack<TreeNode *> s;
s.push(root);
while(!s.empty()){
TreeNode *temp = s.top();
s.pop();
if(temp->right != nullptr) s.push(temp->right);
if(temp->left != nullptr) s.push(temp->left);
cur->right = temp;
cur->left = nullptr;
cur = cur->right;
}
}
从前序与中序遍历序列构造二叉树
开始一个n2了,估计是复制时候太浪费了。
TreeNode* buildTree(vector<int>& preorder, vector<int>& inorder) {
int n = inorder.size();
if(n == 0) return nullptr;
int mid = preorder[0];
TreeNode *newNode = new TreeNode(mid);
//找到中序遍历中的位置,停在相等那个位置
int i = 0;
while(inorder[i] != mid) i++;
cout << i;
if( i != 0 ){
vector<int> leftPre(preorder.begin() + 1 , preorder.begin()+ i + 1);
vector<int> leftIn(inorder.begin() , inorder.begin() + i );
newNode->left = buildTree(leftPre , leftIn);
}else{
newNode->left == nullptr;
}
if (i != n - 1){
vector<int> rightPre(preorder.begin() + i + 1 , preorder.end());
vector<int> rightIn(inorder.begin() + i + 1 , inorder.end());
newNode->right = buildTree(rightPre , rightIn);
}else{
newNode->right == nullptr;
}
return newNode;
}
优化了一下,啊啊啊为什么还是N2复杂度,但确实快了不少
TreeNode *buildT(vector<int>& preorder, vector<int>& inorder , int pl , int pr , int il , int ir){
// 闭区间,右边小于左边则不存在
if(pl > pr) return nullptr;
// 根节点是前序遍历第一个
int rootNum = preorder[pl];
TreeNode *newNode = new TreeNode(rootNum);
//中序遍历中,找到根节点位置
int i = 0;
while(inorder[il + i] != rootNum) i++;
// 前序遍历,第一个是根节点,所以从第二个遍历到第i个节点
// 中序遍历,从第一个到第i-1个位置
newNode->left = buildT(preorder,inorder, pl + 1 , pl + i , il , il +i - 1 );
// 后面都一样,从第i+1个到最后的位置
newNode->right = buildT(preorder,inorder, pl + i + 1 , pr , il + i + 1 , ir);
return newNode;
}
TreeNode* buildTree(vector<int>& preorder, vector<int>& inorder) {
int n = inorder.size();
return buildT(preorder, inorder , 0 , n -1 ,0 , n -1);
}
最后发现,问题是中序遍历,找到和前序遍历相同的时候,一个个查询太慢了。直接哈希映射解决hhhh。双on解决
class Solution {
unordered_map<int , int> mp;
public:
TreeNode *buildT(vector<int>& preorder, vector<int>& inorder , int pl , int pr , int il , int ir){
// 闭区间,右边小于左边则不存在
if(pl > pr) return nullptr;
// 根节点是前序遍历第一个
int rootNum = preorder[pl];
TreeNode *newNode = new TreeNode(rootNum);
// 快速找到差了多少
int i = mp[rootNum] -il;
// 前序遍历,第一个是根节点,所以从第二个遍历到第i个节点
// 中序遍历,从第一个到第i-1个位置
newNode->left = buildT(preorder,inorder, pl + 1 , pl + i , il , il +i - 1 );
// 后面都一样,从第i+1个到最后的位置
newNode->right = buildT(preorder,inorder, pl + i + 1 , pr , il + i + 1 , ir);
return newNode;
}
TreeNode* buildTree(vector<int>& preorder, vector<int>& inorder) {
int n = inorder.size();
for(int i = 0 ; i < n ; i++ ){
mp[inorder[i]] = i;
}
return buildT(preorder, inorder , 0 , n -1 ,0 , n -1);
}
};
路径总和 III
就是求区间和为一个值的数量一样的。深度优先搜索,把每一条路径都看出那个要求的数组即可。回来之后把节点排出,解决。重点还是数学推导,理解了这一步就特别好做。
class Solution {
public:
unordered_map< long long , int > mp;
int sum = 0;
void dfs(TreeNode* root, long long prefixSum , int targetSum){
//unordered_map记录前缀和,如果找到有当前前缀和 - targetSum的,说明存在一个
prefixSum += root->val;
sum+= mp[prefixSum - targetSum];//有几个符合要求加几个
mp[prefixSum] += 1;
if(root->left) dfs(root->left , prefixSum , targetSum);
if(root->right) dfs(root->right , prefixSum , targetSum);
mp[prefixSum] -= 1;
}
int pathSum(TreeNode* root, int targetSum) {
mp[0] = 1;
if(!root) return 0;
dfs(root , 0 , targetSum);
return sum;
}
};
二叉树的最近公共祖先
开始大概是想要记录路径,虽然是on但是特别慢。因为记录了整条路径
class Solution {
unordered_map<TreeNode* , TreeNode*> mp_p;
unordered_map<TreeNode* , TreeNode*> mp_q;
int find_p = 0, find_q = 0;
void dfs(TreeNode* root,TreeNode* p , TreeNode* q){
if(!root) return ;
if(root == p) find_p = 1;
if(root == q) find_q = 1;
if(root->left){
if(!find_p)mp_p[root] = root->left;
if(!find_q)mp_q[root] = root->left;
dfs(root->left, p ,q );
}
if(root->right){
if(!find_p)mp_p[root] = root->right;
if(!find_q)mp_q[root] = root->right;
dfs(root->right, p , q );
}
}
public:
TreeNode* lowestCommonAncestor(TreeNode* root, TreeNode* p, TreeNode* q) {
// 只要dfs遍历到,记录路径,转化为双链表问题公共前缀
if(root == NULL) return NULL;
dfs(root, p , q);
TreeNode *same = root;
while(mp_p[same] == mp_q[same]){
same = mp_p[same];
}
return same;
}
};
答案就感觉是充分利用每一个条件的解一样,稍微一遍就不能用了。p!=q这个条件充分利用上了。不过虽然但是好像也没有好多少。
TreeNode* ans;
bool dfs(TreeNode* root, TreeNode* p, TreeNode* q) {
if (root == nullptr) return false;
bool lson = dfs(root->left, p, q);
bool rson = dfs(root->right, p, q);
if ((lson && rson) || ((root->val == p->val || root->val == q->val) && (lson || rson))) {
ans = root;
}
return lson || rson || (root->val == p->val || root->val == q->val);
}
TreeNode* lowestCommonAncestor(TreeNode* root, TreeNode* p, TreeNode* q) {
dfs(root, p, q);
return ans;
}
二叉树中的最大路径和
class Solution {
int maxNum = INT_MIN;
public:
int calculate(TreeNode* root){
// 计算当前最大值,即
// dp[root] = max { dp[root->left] , dp[root->right] , 0} + val
// 对于每个root ,比较 dp[root->left] + dp[root->right] + val,取出那个值即可
// 这里可以不用动归空间,因为需要的刚好计算了
int left = 0 , right = 0;
if(root->left) left = calculate(root->left);
if(root->right) right = calculate(root->right);
int ret = max(max(left , right),0);
int cur_max = max(ret , left + right ) + root->val;
maxNum = max(cur_max , maxNum);
return ret + root->val;
}
int maxPathSum(TreeNode* root) {
calculate(root);
return maxNum;
}
};
腐烂的橘子
dfs走一遍,每次检查。复杂度已经最优,具体懒得优化。
class Solution {
public:
int m ;
int n ;
int isIllegal(int x ,int y){
if(x >= 0 && x <= m-1 && y >=0 && y<= n-1) return true;
return false;
}
int nextTime(vector<vector<int>>& grid){
//先找出全部烂橘子
vector<vector<int>> vec;
for(int i = 0 ; i < m ; i ++){
for(int j = 0 ; j < n ; j++){
if(grid[i][j] == 2) vec.push_back({i,j});
}
}
int flag = 0;// 1表示有更新,0表示没更新
for(auto v :vec){
int x = v[0]; //m
int y = v[1]; //n
if(isIllegal( x-1 , y) && grid[x-1][y] == 1){
grid[x-1][y] =2;
flag = 1;
}
if(isIllegal( x+1 , y) && grid[x+1][y] == 1){
grid[x+1][y] =2;
flag = 1;
}
if(isIllegal( x , y+1 ) && grid[x][y+1] == 1){
grid[x][y+1] =2;
flag = 1;
}
if(isIllegal( x , y-1 ) && grid[x][y-1] == 1){
grid[x][y-1] = 2;
flag = 1;
}
}
if(flag == 0){
for(int i = 0 ; i < m ; i ++){
for(int j = 0 ; j < n ; j++){
if(grid[i][j] == 1) return -1;
}
}
}
return flag;
}
int orangesRotting(vector<vector<int>>& grid) {
m = grid.size();
n = grid[0].size();
int times = 0;
while(1) {
int temp = nextTime(grid);
// 1表示有更新
if(temp == 1) times++;
// -1不可能
else if(temp == -1) return -1;
else return times;
}
}
};
课程表
本质就是考察图有没有环。那么找入度为0点,开始遍历。最后无法遍历时候,如果没有入度为0点却还是有边,则说明有环,不符合条件
class Solution {
public:
bool canFinish(int numCourses, vector<vector<int>>& prerequisites) {
vector<int> indegs(numCourses , 0);
vector<vector<int>> edges(numCourses);
for(auto v : prerequisites){
//要学0,先要会1,也就是1指向0的边
edges[v[1]].push_back(v[0]);
//添加每天边的入度
indegs[v[0]]++;
}
// 现在对于每一个入度为0的顶点,开始遍历
queue<int> nodes;
for(int i = 0 ; i < numCourses ;i++){
if(indegs[i] == 0) {
nodes.push(i);
}
}
//开始从入度为0点开始遍历,如果没有入度为0点却还是有边,则说明有环,不符合条件
while(nodes.size()){
int node = nodes.front();
nodes.pop();
// 把它指的每一条边加进去,入度减少
for(auto edge : edges[node]){
if(--indegs[edge] == 0) nodes.push(edge);
}
numCourses--;
}
if(!numCourses) return true;
return false;
}
};
实现 Trie (前缀树)
一个节点一个字母…..
class Trie {
struct Node{
vector<bool> chs;
vector<Node *> nodes;
int isEnd = 0;
char selfCh ;
Node(int isEnd = 0, char ch = ' '):isEnd(isEnd) , selfCh(ch){chs.resize(26 , false);}
// 找特定结果的节点
Node *searchNode(char ch){
for(auto node : nodes){
if(node->selfCh == ch){
return node;
}
}
return nullptr;
}
Node* pushNewNode( char ch){
Node *node = new Node(0 , ch);
nodes.push_back(node);
return node;
}
};
Node *head ;
public:
Trie() {
head = new Node();
}
void insert(string word) {
int n = word.length();
Node *start = head;
// 遍历到最后一个
for(int i = 0 ; i < n ; i++){
//如果已经插入过了,去找这个节点
if(start->chs[word[i] - 'a'] == true ){
start = start->searchNode(word[i]);
}
// 没插入过,就插入并设置为true
else{
start->chs[word[i] - 'a'] = true;
start = start->pushNewNode(word[i]);
}
}
start->isEnd = 1;
}
bool search(string word) {
Node *start = head;
for(auto ch : word){
if(start->chs[ch - 'a'] == true){
start = start->searchNode(ch);
} else{
return false;
}
}
return start->isEnd;
}
bool startsWith(string prefix) {
Node *start = head;
for(auto ch : prefix){
if(start->chs[ch - 'a'] == true){
start = start->searchNode(ch);
} else{
return false;
}
}
return true;
}
};
/**
* Your Trie object will be instantiated and called as such:
* Trie* obj = new Trie();
* obj->insert(word);
* bool param_2 = obj->search(word);
* bool param_3 = obj->startsWith(prefix);
*/
岛屿数量
找到节点之后,就把它周边全部都变成0。清除这一边地。跳几次就是几个岛。不过有几个优化的点,一是pair很快,二是扫到周边是1直接让他为0,避免多次重复判断。
class Solution {
public:
int m ;
int n ;
inline bool isIllegal(int x , int y){
return (x >= 0 && x <= m -1 && y >= 0 && y <= n-1) ;
}
int numIslands(vector<vector<char>>& grid) {
m = grid.size();
n = grid[0].size();
int islandNum = 0;
for(int i = 0 ; i < m ; i++){
for(int j = 0 ; j < n ; j++){
if(grid[i][j] == '1'){
islandNum++;
//找到节点之后,就把它周边全部都变成0。清除这一边地
queue<pair<int,int>> q;
q.push({i,j});
grid[i][j]='0';
while(!q.empty()){
auto v = q.front();
q.pop();
int x = v.first , y = v.second;
if(isIllegal(x-1,y) && grid[x-1][y] == '1') {q.push({x-1,y}); grid[x-1][y] = '0';}
if(isIllegal(x+1,y) && grid[x+1][y] == '1') {q.push({x+1,y}); grid[x+1][y] = '0';}
if(isIllegal(x,y-1) && grid[x][y-1] == '1') {q.push({x,y-1}); grid[x][y-1] = '0';}
if(isIllegal(x,y+1) && grid[x][y+1] == '1') {q.push({x,y+1}); grid[x][y+1] = '0';}
}
}
}
}
return islandNum;
}
};
回溯算法
不如动态规划,但有些动态规划还真不行。本质就是递归,递归的好就行。
全排列
这类算法貌似之前没学过,一点感觉都没有。但本质就是递归
class Solution {
public:
vector<vector<int>> permute(vector<int>& nums) {
int n = nums.size();
int cur = 0;
vector<vector<int>> ans;
calculate(ans , nums , 0 , n);
return ans;
}
// n是长度 cur是当前位
void calculate(vector<vector<int>> &ans , vector<int> nums , int cur , int n){
// 最后一位了,可以插入
if(cur == n - 1) ans.push_back(nums);
else{
// 不是最后一位,依次交换
for(int i = cur ; i < n; i++){
swap(nums[i] , nums[cur]);
calculate(ans , nums , cur + 1 , n);
swap(nums[i] , nums[cur]);
}
}
}
};
子集
一遍过的居然是这种模模糊糊的,晕晕的很神奇就过了
class Solution {
public:
vector<vector<int>> subsets(vector<int>& nums) {
vector<vector<int>> ans;
vector<int> curs;
int cur = 0 , n = nums.size();
ans.push_back({});
sub(ans , nums ,curs ,cur , n);
return ans;
}
void sub(vector<vector<int>> &ans , vector<int> nums , vector<int> curs , int cur , int n ) {
//从当前位置遍历
for(int i = cur ; i < n ; i++){
// curs维护目前集合,加入一个新数字
curs.push_back(nums[i]);
// 答案就新加一种
ans.push_back(curs);
// 接着向后遍历出全部
sub(ans , nums , curs , i + 1 , n);
// 可以排出来了,再插入其他数字。注意为了避免重复,只可以对这个数字后面的数字再操作。可以想象一下自己如何全排列一个数组,从第一个数开始,再从第二个数不往前。
curs.pop_back();
}
}
};
电话号码的字母组合
貌似理解这个回溯的感觉就很好处理了。
class Solution {
public:
unordered_map<char , string> mp;
vector<string> letterCombinations(string digits) {
if(digits == "") return {};
mp['2'] = "abc";
mp['3'] = "def";
mp['4'] = "ghi";
mp['5'] = "jkl";
mp['6'] = "mno";
mp['7'] = "pqrs";
mp['8'] = "tuv";
mp['9'] = "wxyz";
vector<string> ans;
string curs ;
int cur = 0 , n = digits.length();
dep(ans, curs , digits , cur , n);
return ans;
}
void dep(vector<string> &ans , string curs , string &digits , int cur , int n){
if(cur == n) ans.push_back(curs);
else{
for(auto ch : mp[digits[cur]]){
curs.push_back(ch);
dep(ans , curs , digits , cur + 1, n);
curs.pop_back();
}
}
}
};
组合总和
第一次错了。如果开始的数组不排序的话,那么出现 [2,3,3]和[3,2,2]之类情况发生,如果拍排好序顺着选就没问题了。数组最后是back,要记住()()
class Solution {
public:
vector<vector<int>> combinationSum(vector<int>& candidates, int target) {
vector<vector<int>> ans;
int curSum = 0;
vector<int> vec;
sort(candidates.begin() , candidates.end());
sub(candidates , ans , target , curSum , vec);
return ans;
}
void sub(vector<int>& candidates, vector<vector<int>> &ans , int target , int curSum , vector<int> vec){
// 超过最大,肯定不行
if(curSum > target) return ;
// 等于,则说明可以
else if(curSum == target) ans.push_back(vec);
else{
// 顺着遍历每一个,必须不小于前一个数(用curSum为0代表第一次来的时候)
for(auto can : candidates){
if(curSum == 0 || can >= vec.back()){
vec.push_back(can);
sub(candidates , ans , target , curSum + can , vec);
vec.pop_back();
}
}
}
}
};
括号生成
c++里面等号不传递 :joker:,也就是说别想着a == b == c,,,其它的逻辑还是很显然的。中间判断逻辑有些冗余,但没事,这样比较容易读())
class Solution {
public:
vector<string> generateParenthesis(int n) {
vector<string> ans;
dep(ans , "" , 0 , 0 , n);
return ans;
}
void dep(vector<string> & ans , string cur , int l , int r ,int n){
if(l == r && l== n) ans.push_back(cur);
else{
// 如果左括号 = 右括号,则说明只能 加左括号.反之都可以
if(l == r){
cur.push_back('(');
dep(ans , cur , l + 1, r, n);
cur.pop_back();
}
else if(l < n ){
cur.push_back('(');
dep(ans , cur , l + 1, r, n);
cur.pop_back();
cur.push_back(')');
dep(ans , cur , l, r + 1, n);
cur.pop_back();
}
else{
cur.push_back(')');
dep(ans , cur , l, r + 1, n);
cur.pop_back();
}
}
}
};
单词搜索
多看几眼题2333,初始条件看错白忙活半天
class Solution {
public:
vector<vector<bool>> mp;
bool exist(vector<vector<char>>& board, string word) {
// 对首字母深度优先遍历
int x = board.size() , y = board[0].size(),lens = word.length();
//初始化
mp.resize(x);
for(int i = 0 ; i < x ; i++) mp[i].resize(y , false);
for(int i = 0 ; i < x ; i++){
for(int j = 0 ; j < y ; j++){
if(dfs(i , j , word , board , lens , x , y , 0 )){
return true;
}
}
}
return false;
}
bool dfs(int i , int j , string & word ,vector<vector<char>>& board, int lens , int x , int y , int depth){
if(lens == depth) return true;
else{
if(i < 0 || j > y-1 || j < 0 || i > x-1) return false;
if(mp[i][j]) return false;
else if(word[depth] != board[i][j]) return false;
else{
mp[i][j] = true;
bool ans = dfs(i+1,j,word,board,lens,x,y,depth+1) || dfs(i-1,j,word,board,lens,x,y,depth+1)
|| dfs(i,j+1,word,board,lens,x,y,depth+1) || dfs(i,j-1,word,board,lens,x,y,depth+1) ;
mp[i][j] = false;
return ans;
}
}
}
};
分割回文串
我这个小优化确实快了一点,看它分析复杂度从(2^n到n^2了,但是并没有快多少23333,看来还是数据量太少了)
class Solution {
public:
vector<vector<int>> dp;
vector<vector<string>> partition(string s) {
// 先实现一个检测区间是否是回文的,用之前的动态规划,复杂度o(n2),
// 接着partition,依次往后。如果这个是回文区间,那就加进去(这里由于都算完了,检测o1就完成,不然很多重复计算)
// 退出条件就是划分到最后面了
vector<vector<string>> ans;
vector<string> cur;
int start = 0;
int n = s.length();
setDp(s, n);
part(s , ans , cur , start , n);
return ans;
}
void setDp(string s , int n){
// dp[i][j] = dp[i+1][j-1] && s[i] == s[j]
dp.resize(n);
for(int i = 0 ; i < n ; i++) dp[i].resize(n);
for(int j = 0 ; j < n ; j ++){
for(int i = 0 ; i < n - j; i++){
if(j == 0) dp[i][i+j] = 1;
else if(j == 1) dp[i][i+j] = int(s[j+i] == s[i]);
else {
dp[i][i+j] = dp[i+1][i+j-1] && int(s[i] == s[j+i]);
}
}
}
}
int check(int start , int end , string &s){
return dp[start][end];
}
void part(string s ,vector<vector<string>> &ans, vector<string> cur , int start , int n ){
if(start == n) ans.push_back(cur);
for(int i = start ; i < n ; i++){
// 如果是回文,就插入递归后续
if(check(start , i , s) == 1){
string subStr(s.begin() + start , s.begin() + i + 1);
cur.push_back(subStr);
part(s , ans , cur , i + 1, n);
cur.pop_back();
}
}
}
};
N 皇后
大名鼎鼎,但是感觉并不难。都是一个复杂度量级,不知道我的为什么回慢这么多
class Solution {
public:
vector<vector<int>> matrix;
vector<vector<string>> solveNQueens(int n) {
vector<string> v(n);
for(int i = 0 ; i < n ; i++) v[i].resize(n,'.');
vector<vector<string>> ans ;
dep(0,n,0,0,v,ans);
return ans;
}
bool isIllegal ( int x, int y){
for(auto key : matrix){
if( key[1] == y || abs(y - key[1]) == abs(x - key[0])){
return false;
}
}
return true;
}
void dep(int cur , int n , int x, int y, vector<string> &v , vector<vector<string>> &ans ){
if(cur == n) ans.push_back(v);
else{
// 每次从下一行迭代
for(int j = 0 ; j < n ; j++){
if(isIllegal(x,j)){
v[x][j] = 'Q';
matrix.push_back({x,j});
dep(cur+1 , n , x + 1 , 0 , v, ans);
matrix.pop_back();
v[x][j] = '.';
}
}
}
}
};
找到了!!!双双最优 vector<vector<int>>速度显著高于vector<pair<int,int>>,一修改全部最优!gpt真不行。注意的点是一行找完直接下一行开始,节省时间。这样检查时候,也不用检查行的问题。

class Solution {
public:
vector<pair<int,int>> matrix;
vector<vector<string>> solveNQueens(int n) {
vector<string> v(n);
for(int i = 0 ; i < n ; i++) v[i].resize(n,'.');
vector<vector<string>> ans ;
dep(0,n,0,0,v,ans);
return ans;
}
bool isIllegal ( int x, int y){
for(auto key : matrix){
if( key.second == y || abs(y - key.second) == abs(x - key.first)){
return false;
}
}
return true;
}
void dep(int cur , int n , int x, int y, vector<string> &v , vector<vector<string>> &ans ){
if(cur == n) ans.push_back(v);
else{
for(int j = 0 ; j < n ; j++){
if(isIllegal(x,j)){
v[x][j] = 'Q';
matrix.push_back({x,j});
dep(cur+1 , n , x + 1 , 0 , v, ans);
matrix.pop_back();
v[x][j] = '.';
}
}
}
}
};
二分查找
边界条件太太太容易错了,所以总结了四种情况,够用了


原理来说,中间的m一定在闭区间(0,n-1)合法性没问题。
这个取值,保证左右l,r一定是保持在自己的区间内,不过超越区间。
这样,只要初始的isBlue设置的好,就可以处理所有情况
搜索插入位置
tmd,二分查找就错错错,边界条件不写还真不会
class Solution {
public:
int searchInsert(vector<int>& nums, int target) {
int size = nums.size();
int left = 0, right = nums.size() - 1;
while(left <= right){
int mid = left + (right - left) / 2;
if(nums[mid] < target){
left = mid + 1;
}else{
right = mid - 1;
}
}
return left;
}
};
使用合理方法,秒了
class Solution {
public:
int searchInsert(vector<int>& nums, int target) {
// 超出原本的外面
int left = -1 , right = nums.size();
// 想要插入第一个>= target的位置
while(left + 1 != right){
int mid = (left + right) / 2;
if(nums[mid] < target){
left = mid;
}else{
right = mid;
}
}
return right;
}
};
搜索二维矩阵
nnd,刚学完新方法就给我来特例是吧。这个相当于要求,第一个<=的数字,但是还必须在合理范围内。那就打补丁2333333333。不过不得不说,真的提高了好多好多。
class Solution {
public:
bool searchMatrix(vector<vector<int>>& matrix, int target) {
int n_x = matrix.size() , n_y = matrix[0].size();
int up = -1 , down = n_x , left = -1, right = n_y ;
// 找到第一个<= 元素
while(up + 1 != down){
int mid = (up + down ) /2;
if(matrix[mid][0] <= target){
up = mid;
}else {
down = mid;
}
}
if(up == -1) up = 0;
while(left + 1 != right){
int mid = ( left + right) / 2;
if(matrix[up][mid] <= target){
left = mid;
} else {
right = mid;
}
}
if(left == -1) left = 0;
return (matrix[up][left] == target);
}
};
在排序数组中查找元素的第一个和最后一个位置
打补丁,爽。全部拿下
class Solution {
public:
vector<int> searchRange(vector<int>& nums, int target) {
vector<int> ans;
// 检测<的right 和 >的left。注意取到的值和最后答案不相同要设置为-1
int n = nums.size();
int left = -1 , right = n;
while(left + 1 != right){
int mid = (left + right ) /2 ;
if(nums[mid] < target ){
left = mid;
}else{
right = mid;
}
}
if(right != n && nums[right] == target) ans.push_back(right);
else ans.push_back(-1);
left = -1 , right = n;
while(left + 1 != right){
int mid = (left + right ) /2 ;
if(nums[mid] <= target ){
left = mid;
}else{
right = mid;
}
}
if(left != -1 && nums[left] == target) ans.push_back(left);
else ans.push_back(-1);
return ans;
}
};
搜索旋转排序数组
最小栈
好没意思的题目
class MinStack
{
stack<pair<int,int>> sk;
public:
MinStack() {}
void push(int val)
{
sk.push({val,min(val,getMin())});
}
void pop()
{
return sk.pop();
}
int top()
{
return sk.top().first;
}
int getMin() //如果为空的时候是没有最小值的
{
return sk.empty() ? INT_MAX : sk.top().second;
}
};
字符串解码
经典栈
class Solution {
public:
string decodeString(string s) {
string ans;
for( auto ch : s){
if(ch != ']'){
ans.push_back(ch);
}else{
int num = 0;
string str = "";
string numStr = "";
// 先读取字母
while(1){
char tmp = ans.back();
ans.pop_back();
if(tmp == '[') break;
str = string(1 , tmp) + str;
}
//再读取数字
while(ans != ""){
char tmp = ans.back();
if(tmp > '9' || tmp < '0') break;
ans.pop_back();
numStr = string(1 , tmp) + numStr;
}
num = stoi(numStr);
for(int i = 0 ; i < num ; i++){
ans += str;
}
}
}
return ans;
}
};
每日温度
这种没做过,但做一次就明白了。单调栈,把前面比自己小的都杀了,这样巧妙的利用了状态。。当感觉还是很奇技淫巧23333.
class Solution {
public:
vector<int> dailyTemperatures(vector<int>& temperatures) {
int n = temperatures.size();
stack<pair<int,int>> s;
vector<int> ans(n , 0);//初始就假设你找不到更大的
for(int i = 0 ; i < n; i++){
if(s.empty()) s.push({i , temperatures[i]});
else{
// 没空,就一直跑,保持单调减
while(!s.empty() && temperatures[i] > s.top().second){
auto pr = s.top();
s.pop();
ans[pr.first] = i - pr.first;
}
// 现在肯定递减,那么就插入这个
s.push({i , temperatures[i]});
}
}
return ans;
}
};
前 K 个高频元素
我成了!会用这些效率大大提高
class Solution {
public:
vector<int> topKFrequent(vector<int>& nums, int k) {
// 用pair ,和堆
auto tmp = [](const pair<int , int> & a ,const pair<int , int> & b){
return a.first < b.first;
};
priority_queue<pair<int , int> , vector<pair<int,int> >, decltype(tmp)> p;
// 记录每一个数字出现数量
unordered_map<int , int > mp;
for(auto num : nums){
mp[num] += 1;
}
// 开始插入
for(auto pr : mp){
p.push({pr.second , pr.first});
}
vector<int> ans;
for(int i = 0 ; i < k ; i++){
ans.push_back(p.top().second);
p.pop();
}
return ans;
}
};
数据流的中位数
维护两个堆,一个大于中位数,一个小于中位数。这样中间的值就是答案。
class MedianFinder {
public:
// 思路:两个堆,大顶堆和小顶对
// 大顶堆对前半部分,大顶堆对后半部分
// 这样每次中位数就是中间俩值
priority_queue<int> max_queue;
priority_queue<int , vector<int> , greater<int>> min_queue;
int l = 0;
int r = 0;
MedianFinder() {
}
void addNum(int num) {
if(l == 0){
max_queue.push(num);
l++;
}
else {
if( num > max_queue.top()){
min_queue.push(num);
r++;
} else{
max_queue.push(num);
l++;
}
}
if(r > l){
int temp = min_queue.top();
min_queue.pop();
max_queue.push(temp);
r -- ;
l ++;
} else if( l > r + 1){
int temp = max_queue.top();
max_queue.pop();
min_queue.push(temp);
l --;
r++;
}
}
double findMedian() {
if((r + l) % 2 == 0) return (double(max_queue.top()) + min_queue.top()) / 2;
return double(max_queue.top()) ;
}
};
买卖股票的最佳时机
1还是简单,但是看着原来题解是双指针来着2333。不过现在也解决了
class Solution {
public:
int maxProfit(vector<int>& prices) {
// 对于最大值,肯定是当前值减去前面的最小值。
int maxP = 0;
int curMin = prices[0];
int n = prices.size();
for(int i = 1 ; i < n ; i++){
maxP = max(maxP , prices[i] - curMin);
curMin = min(curMin , prices[i]);
}
return maxP;
}
};
跳跃游戏
原理是,如果到当前格子后,走不动了,就false。当然,不用考虑走后一个格子
class Solution {
public:
bool canJump(vector<int>& nums) {
int n = nums.size();
int resSteps = 0;
for(int i = 0 ; i < n - 1; i++){
resSteps = max(resSteps , nums[i]);
if(resSteps == 0) return false;
resSteps --;
}
return true;
}
};
跳跃游戏 II
还是做出来了,也是最优。但是终于仍然错了好几次23333,不知道影响大不大
class Solution {
public:
int jump(vector<int>& nums) {
int n = nums.size();
int currentMax = 0;
int nextMax = 0;
int steps = 0;
// 从头到尾遍历,记录这一次跳跃范围内的最大值。
// 注意一下最后的情况。我这里相当于记录的是起跳次数,但最后一次是不需要起跳的。
for(int i = 0 ; i < n ; i++){
nextMax = max(nextMax , nums[i]);
if(currentMax == 0 && i != n-1){
steps ++;
currentMax = nextMax;
}
currentMax -- ;
nextMax --;
}
return steps;
}
};
爬楼梯
dp[n] = dp[n-1]+dp[n-2]
class Solution {
public:
vector<int> v;
int climbStairs(int n) {
v.resize(n);
if(n == 1) return 1;
else if(n == 2) return 2;
v[0] = 1;
v[1] = 2;
for(int i = 2 ; i < n ; i++){
v[i] = v[i-1] + v[i - 2] ;
}
return v[n -1];
}
};
杨辉三角
class Solution {
public:
vector<vector<int>> generate(int numRows) {
vector<vector<int>> ans;
for(int i = 0 ; i < numRows ; i++){
vector<int> v(i+1);
for(int j = 0 ; j < i + 1 ; j ++){
if(j == 0 || j == i) v[j] = 1;
else{
v[j] = ans[i - 1][j - 1] + ans[i - 1][j ];
}
}
ans.push_back(v);
}
return ans;
}
};
打家劫舍
想通一个点,一定可以假设左边那个是用的。因为如果n没有,那么n-1的值其实是一样的,那么也不影响
class Solution {
public:
int rob(vector<int>& nums) {
// dp[n] = max(dp[n-2]+nums[n] , dp[n-1])
int n = nums.size();
if(n == 1) return nums[0];
if(n == 2) return max(nums[0] , nums[1]);
vector<int> maxNums(n);
maxNums[0] = nums[0] ;
maxNums[1] = max(nums[0] , nums[1]);
for(int i = 2 ; i < n ; i++){
maxNums[i] = max(maxNums[i - 2] + nums[i] , maxNums[i - 1]);
}
return maxNums[n - 1];
}
};
完全平方数
思路就是dp[n] = for each i^2 dp[n – i^2] + 1;
class Solution {
public:
int numSquares(int n) {
// 对于所有的小于n的平方数
// dp[n] = for each i^2 dp[n - i^2] + 1;
vector<int> v(n + 1);
vector<int> sqrt2;
int i = 0;
while(i * i <= n){
sqrt2.push_back(i * i);
i++;
}
sqrt2.push_back(i * i);
v[0] = 0;
for(int i = 1 ; i < n + 1; i++){
int minSum = INT_MAX;
int j = 1 ;
while(sqrt2[j] <= i){
if(v[i - sqrt2[j]] < minSum){
minSum = v[i - sqrt2[j]];
}
j++;
}
v[i] = minSum +1;
}
return v[n];
}
};
零钱兑换54
边界条件有点硬凑的感觉,但是做出来了
class Solution {
public:
int coinChange(vector<int>& coins, int amount) {
// dp[amount] = for each coin min(dp[amount - coin]);
vector<int> dp(amount+1,INT_MAX);
dp[0] = 0;
for(int i = 1 ; i < amount + 1 ; i++){
for(auto coin : coins){
if(i - coin >= 0 ){
if(dp[i - coin] != -1){
dp[i] = min(dp[i - coin] + 1, dp[i]);
}
}
}
if(dp[i] == INT_MAX ) dp[i] = -1;
}
return dp[amount];
}
};
看了看答案,其实也和我一样23333,那不管了
class Solution {
public:
int coinChange(vector<int>& coins, int amount) {
int Max = amount + 1;
vector<int> dp(amount + 1, Max);
dp[0] = 0;
for (int i = 1; i <= amount; ++i) {
for (int j = 0; j < (int)coins.size(); ++j) {
if (coins[j] <= i) {
dp[i] = min(dp[i], dp[i - coins[j]] + 1);
}
}
}
return dp[amount] > amount ? -1 : dp[amount];
}
};
单词拆分
经典动态规划
class Solution {
public:
bool wordBreak(string s, vector<string>& wordDict) {
// 开表
int n = s.length();
vector<int> v(n+1 , 0);
v[0] = 1;
for(int i = 1 ; i < n + 1 ; i++){
for(auto word : wordDict){
int word_len = word.length();
//
if(word_len > i) continue;
int j = 0;
for( ; j < word_len ; j++){
//1 - 1 + 0
if(word[j] != s[i - word_len + j ]){
break;
}
}
int isOk = 0;
if(v[i - word_len] && (j == word_len)) isOk = 1;
v[i] = max(v[i] , isOk);
}
}
return v[n];
}
};
最长递增子序列
class Solution {
public:
int lengthOfLIS(vector<int>& nums) {
// dp[n] = for each num < nums[n] max (num + 1)
int n = nums.size();
vector<int> v(n);
v[0] = 0;
int tMax = 0;
for(int i = 0 ; i < n ; i++){
int max_num = 0;
for(int j = 0 ; j < i ; j++){
if(nums[j] <nums[i]){
max_num = max(max_num , v[j]);
}
}
v[i] = max_num + 1;
tMax = max(tMax , v[i]);
}
return tMax;
}
};
乘积最大子数组
维护正负两个最大,然后根据当前需要去乘。最后得到最大的乘积
class Solution {
public:
int maxProduct(vector<int>& nums) {
int maxNum = INT_MIN;
int n = nums.size();
vector<pair<int,int>> v(n);//0是最大正,1是最大负
// dp[n][0] = max (dp[i-1].first*nums[i] , nums[i]);
v[0].first = nums[0];
v[0].second = nums[0];
maxNum = nums[0];
for(int i = 1 ; i < nums.size() ; i++){
if(nums[i] >= 0){
v[i].first = max(v[i-1].first*nums[i] , nums[i]);
v[i].second = min(v[i-1].second*nums[i] , nums[i]);
}else{
v[i].second = min(v[i-1].first*nums[i] , nums[i]);
v[i].first = max(v[i-1].second*nums[i] , nums[i]);
}
maxNum = max(maxNum , v[i].first);
}
return maxNum;
}
};
分割等和子集
思路如下,转化为数组中是否存在和为sum/2的
class Solution {
public:
bool canPartition(vector<int>& nums) {
// 实际问题转化为,数组中,是否存在和为 sum / 2 的
int n = nums.size() , sum = 0;
for(auto num :nums) sum += num;
if(sum % 2 == 1) return false;
//dp[i][j] 表示用前i个数,是否能够求和到j
// dp[i][j] = max {dp[i-1][j]//不用这个数就可以 , dp[i-1][j-num] }
vector<vector<int>> v(n );//构建数组
int target = sum / 2 ;
for(int i = 0 ; i < n ; i++ ){
v[i].resize(target+1);
}
// 下面讨论,是否能够用前i个数达到和j
for(int j = 0 ; j < target+1 ; j++){
for(int i = 0 ; i < n; i++){
// 如果和为0,可以达到
if(j == 0) v[i][j] = 1;
else if(i == 0) nums[i] == target ? v[i][j] = 1 : v[i][j] = 0;
else if(j >= nums[i] ) v[i][j] = max(v[i-1][j] , v[i - 1][j - nums[i]]);
else v[i][j] = v[i - 1][j];
}
}
return v[n - 1][sum / 2];
}
};
最长有效括号
这道题先可以用栈过一遍。最后剩下的都是不符合规范的,标记为1。最后计算连续0的个数即可。偷懒可以直接开新数组,反正都o(n),如果想省一点就计算差值,要注意,相当于首尾要有0和n,以保证封闭
不过反复提交了好几次,因为太不细心了。代码一长就会犯很多错误23333.
class Solution {
public:
int longestValidParentheses(string s) {
stack<int> sta;
int n = s.length();
if(n == 0) return 0;
// 得到了栈
for(int i = 0 ; i < n ; i++){
if(sta.empty()) sta.push(i);
else{
if(s[i] == '(') sta.push(i);
else {
if(s[sta.top()] == '(') sta.pop();
else sta.push(i);
}
}
}
// 对于栈每一个元素,标记在数组
int maxNum = 0 , cur = n;
if(sta.empty()) return n ;
int temp ;
while(!sta.empty()){
temp = sta.top();
sta.pop();
maxNum = max(cur - temp - 1 , maxNum);
cur = temp;
}
maxNum = max(maxNum , temp);
return maxNum;
}
};
不同路径
class Solution {
public:
int uniquePaths(int m, int n) {
vector<vector<int>> v(m);
//dp[i][j] = dp[i-1][j]+dp[i][j-1];
for(int i = 0 ; i < m ;i ++) v[i].resize(n);
for(int i = 0 ; i < m ; i++){
for(int j = 0 ; j < n ; j++){
//在边上,只有一条路可以走
if(i == 0 || j == 0){
v[i][j] = 1;
}
else{
v[i][j] = v[i-1][j]+v[i][j-1];
}
}
}
return v[m-1][n-1];
}
};
最小路径和
很容易dp[m][n] = min( dp[m-1][n] + dp[m][n-1]) + nums[m][n],这种题真涨成就感。
class Solution {
public:
int minPathSum(vector<vector<int>>& grid) {
// dp[m][n] = min( dp[m-1][n] + dp[m][n-1]) + nums[m][n]
int m = grid.size();
int n = grid[0].size();
vector<vector<int>> dp(m);
for(int i = 0 ; i < m ; i++) dp[i].resize(n);
for(int i = 0 ; i < m ; i++){
for(int j = 0 ; j < n ; j++){
if(i == 0 || j == 0){
if(i == 0 && j == 0) dp[i][j] = grid[i][j];
else if(i == 0) dp[i][j] = dp[i][j-1] + grid[i][j];
else if(j == 0) dp[i][j] = dp[i-1][j] + grid[i][j];
}
else{
dp[i][j] = min(dp[i-1][j] , dp[i][j-1]) + grid[i][j];
}
}
}
return dp[m-1][n-1];
}
};
最长公共子序列
class Solution {
public:
int longestCommonSubsequence(string text1, string text2) {
// dp[i][j] i表示文本1前i字母,j表示文本2前j字母 dp[i][j] 表示公共的子序列长度
// dp[i][j] = max(dp[i-1][j-1] + s[i] == s[j] , dp[i][j-1], dp[i-1][j])
int n1 = text1.length() , n2 = text2.length();
vector<vector<int>> dp(n1);
for(int i = 0 ; i < n1 ;i++) dp[i].resize(n2);
for(int i = 0 ; i < n1 ; i++){
for(int j = 0 ; j < n2 ; j++){
if( i == 0 || j == 0){
if(i == 0 && j == 0) dp[i][j] = int(text1[0] == text2[0]);
else if(i == 0) dp[i][j] = max(dp[i][j] = dp[i][j-1] , int(text1[i] == text2[j]));
else dp[i][j] = max(dp[i-1][j] , int(text1[i] == text2[j]));
}
else{
dp[i][j] = max(max(dp[i-1][j-1]+ int(text1[i] == text2[j]) , dp[i][j-1] ), dp[i-1][j]);
}
}
}
return dp[n1-1][n2-1];
}
};
最长回文子串
稀里糊涂过的。很多细节边界条件感觉不是特别想的清楚。但是看这里最好是不用动归,但我管你的2333
class Solution {
public:
string longestPalindrome(string s) {
//dp[i][j] 表示在[i,j]内是否是回文
//dp[i][j] = dp[i+1][j-1] && s[i] == s[j]
//dp[i][i] = true
int n = s.length();
vector<vector<int>> dp(n);
for(int i = 0 ; i < n ;i++) dp[i].resize(n,0);
pair<int , int> maxPair = {0,0};
// 斜着遍历,一条一条的
for(int j = 0 ; j < n ; j++){
for(int i = 0 ; i < n -j; i++){
// 如果是第一条,即自己和自己,那肯定回文
if(j == 0) dp[i][j+i] = 1;
// 如果是第二条,则是两个,比较两个相同就回文
else if(j == 1) dp[i][j+i] = int(s[i] == s[j+i]);
//对于后面的,比较要新加的两个是否相等,且内部要是回文,即dp[i+1][j-1] && s[i] == s[j]
else{
dp[i][j+i] = dp[i+1][j+i-1] && int(s[i] == s[j+i]);
}
//记录最大的长度
if(dp[i][j+i] && (j > maxPair.second - maxPair.first)){
maxPair.first = i;
maxPair.second = j+i;
}
}
}
int x = maxPair.first , y = maxPair.second;
return s.substr(x,y-x+1);//和下面等价
// string ans;
// while(x != y){
// ans += s[x++];
// }
// ans += s[x];
// return ans;
}
};
编辑距离
上课讲过的,一下就有感觉可以做了。
不过怎么说呢,还是边界。对于边界两种处理方法,一种是扩大表,比如说要m * n,那么我就造一个 (m + 1) * (n + 1) ,这样边界很快处理,对于核心不用修改。一种是小心考虑边界情况。这个就属于这一种,
class Solution {
public:
int minDistance(string word1, string word2) {
// dp[i][j] word1前i个 和 word2前j个,最小的遍历距离
// dp[i][j] = min{dp[i-1][j] + 1 , dp[i][j-1] + 1 , dp[i-1][j-1] + s[i] == s[j]}
int n1 = word1.length() , n2 =word2.length();
vector<vector<int>> dp(n1+1);
for(int i = 0 ; i < n1+ 1 ; i++) dp[i].resize(n2+1);
for(int i = 0 ; i < n1 + 1; i++){
for(int j = 0 ; j < n2 +1; j++){
if(i == 0 || j == 0){
if(i == 0 && j == 0) dp[i][j] = 0;
else if(i == 0) dp[i][j] = dp[i][j-1] + 1;
else dp[i][j] = dp[i-1][j] + 1;
}
else {
dp[i][j] = min(min(dp[i-1][j] + 1 , dp[i][j-1] + 1) , dp[i-1][j-1] + int(word1[i-1] != word2[j-1]));
}
}
}
return dp[n1][n2];
}
};
颜色分类
又双叒叕一个脑筋急转弯,不过这次一下就看出来了
因为只有三种球,所以只需要统计每种出现的个数。然后再从头到尾遍历一次直接覆盖原数组,完成。
void sortColors(vector<int>& nums) {
int a_sum = 0 , b_sum = 0 , c_sum = 0;
int n = nums.size();
for(int i = 0 ; i < n ; i++){
if(nums[i] == 0) a_sum++;
else if(nums[i] == 1) b_sum++;
else c_sum++;
}
for(int i = 0 ; i < n ; i++){
if(a_sum > 0) {
nums[i] = 0;
a_sum --;
} else if( b_sum > 0){
nums[i] = 1;
b_sum --;
} else {
nums[i] = 2;
c_sum --;
}
}
}
下一个排列
2333,说人话就是
找出这个数组排序出的所有数中,刚好比当前数大的那个数
比如当前 nums = [1,2,3]。这个数是123,找出1,2,3这3个数字排序可能的所有数,排序后,比123大的那个数 也就是132
我大概做到了可以保证比开始大,但是没有恰好下一个。这种题就是纯数学题,想明白就容易了。
步骤分为三步:
void nextPermutation(vector<int>& nums) {
//首先找到第一个逆序排列的
// 遍历过的部分(倒着看)一定是按照从小到大排列
int i = nums.size() - 2 ;
while(i >= 0){
if(nums[i+1] > nums[i])
break;
i--;
}
//再从后面中,找到恰好比当前大的值
// 如果不是-1,则说明不需要找值
if(i != -1){
int j = nums.size() - 1;
while(j > i){
if(nums[j] > nums[i]){
swap(nums[j] , nums[i]);
break;
}
j--;
}
}
//最后,后半部分reverse
reverse(nums.begin() + i + 1 , nums.end());
}








